Lowndes Area Knowledge Exchange (LAKE)

[prev][index][next] [index to photographs]

Page 46

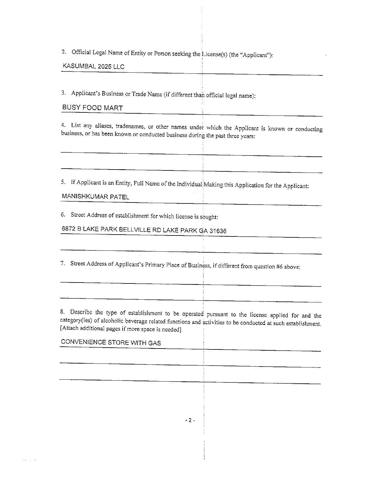
Beer and Wine License - Manishkumar Patel of Kasumbal 2025 LLC, DBA Busy Food Mart, 6872 B Lake Park-Bellville Road, Lake Park, GA 31636
Packet: One-Valdosta Lowndes Report, 3 Rezonings, 1 Subdivision, Paving, Alcohol, Housing Loan, LMIG @ LCC
9 March 2026

 
Page 46
smaller PDF