Lowndes Area Knowledge Exchange (LAKE)

[prev][index][next] [index to photographs]

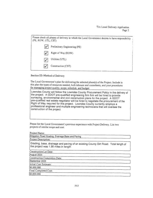
Section 11]-Method of Delivery

Transportation Investment Act (TIA) - Hickory Grove Road Widening and Skipper Bridge Road Widening
Packet: 3 presentations, Appointment Board of Health, correct Tax Assessor, Qualifying Fees, grants, road widening and paving, Lakes Blvd Water Meter Relocation @ LCC
12 January 2026

 
Section 11]-Method of Delivery
bigger PDF